[수학 1 실전 개념] 8강 : 지수/로그 함수 그래프 (3) - 역함수

안녕하세요, 밤샘공부 입니다~
질문 사항은
아래 오픈챗 링크 혹은 메일로 보내주시면,
2시간 이내로 답변드리겠습니다.
오픈챗 링크 : https://open.kakao.com/o/srASNxef
메일 주소 : studying.all.night.1114@gmail.com
오늘 같이 알아볼 내용은
지수/로그 함수의 핵심이라고 볼 수 있는
역함수 관계에 대하여 알아보겠습니다~
0. 대표 문제

위 문제는 역함수의 대칭관계에 대한
사실관계를 명확하게 묻고 있는 질문입니다.
제 수업을 듣는 학생이라면, 슬슬 눈으로도 풀리지 않을까 생각합니다 ㅎㅎ..
고민해보시고, 아래 실전 개념들을 같이 학습한뒤
마지막 해설을 참고하시면 될듯 합니다~
1. 역함수의 대수적 의미
(1) 역함수의 정의
역함수가 존재하기 위해서는
일대일 대응이라는 전제 조건이 필요합니다.
(다만, 모든 지수/로그 함수는 이미 일대일 대응이므로
굳이 복잡하게 생각하실 필요 없습니다)

위의 사진 처럼 원래 함수 f 에서
정의역 -> 치역의 대응 관계가 반전 되었을 때
반전된 함수 f-1를 f의 역함수라고 정의합니다.
즉,

서로가 서로의 역함수가 되는 것이죠.
사실 위와 같은 정의는 매우 피상적이고
실제 문제에 적용하기 어렵기 때문에 다음과 같이 알고 계시면 속 편합니다

역함수의 정의는 고1 수학 내용이기에
이정도만 설명하고 넘어가도록 하겠습니다.
아래 지수 함수에서 예를 들어 설명하니,
굳이 역함수의 정의를 추가로 찾아보지는 않으셔도 됩니다
(2) 지수 함수와 로그 함수는 서로 역함수 관계
자 그럼 이제
아래 지수함수의 역함수를 한번 구해볼까요?

<지수/로그 함수의 역함수 구하는 방법>
1단계. x에는 y를 대입하고, y에는 x를 대입한다.
2단계. 로그 or 지수의 정의를 이용하여 y에 대해 정리한다.

따라서, 다음 두 함수는 서로 역함수 관계에 있습니다

이러한 역함수 관계를 기하적으로 비교해보면 어떤 특징이 있을까요?
2. 역함수의 기하적 의미 (중요!!)
어떤 두 함수가 서로 역함수 관계에 있다는 것은
서로 y = x 대칭임을 의미합니다.

이를 이용하면, 다음과 같은 비율관계 또한 발견해낼 수 있습니다

또한, 초록색 직선의 기울기가 모두 -1 임을 알 수 있습니다
지수/로그 함수의 기본적인 역함수를
대수적&기하적으로 해석해 보았으니
이제 평행이동 된 지수/로그 함수의 역함수에 대해 알아봅시다
3. 역함수와 평행이동
(1) 평행이동 - 대수적 해석
결론 부터 보여드리자면,

위와 같은 사실관계를 확인할 수 있으며
그 이유는 다음과 같습니다

평행이동 하기전의 함수를 f(x)라 하고,
f(x)의 역함수를 g(x)라 할 때
f를 x축의 방향으로 +m 만큼, y축의 방향으로 +n 만큼 평행이동 됐다면
그 역함수 g는 x축의 방향으로 +n 만큼, y축의 방향으로 +m 만큼 평행이동 된 것입니다
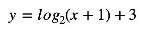
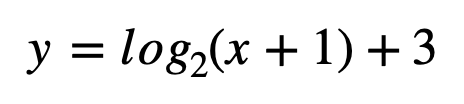
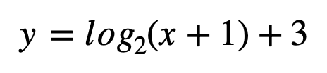
예를 들어,

라고 한다면 평행이동하기 전인 y = 2^x를 떠올리고
이때 평행이동 관계는
x 축 방향으로 +3
y 축 방향으로 -1
이므로
역함수는 y = log_2(x) 그래프를
x 축방향으로 -1
y 축방향으로 +3
평행이동된 함수이므로

위 함수가 답이 됩니다.
이를 기하적으로 해석할 경우
(2) 평행이동 - 기하적 해석
기본적으로 역함수는 무조건 y = x 대칭이므로
평행이동된 함수의 역함수 또한 서로 y = x 대칭임은 변하지 않습니다.

그러나,
평행이동 된 함수의 역함수가 아닌
역함수가 평행이동 된 경우는 상황이 다릅니다.
예를 들어

다음 두 함수는 더 이상 역함수 관계가 아닙니다.

정확히는 원래 역함수 관계 였던 함수들이 평행이동 된 것이라 볼 수 있죠.
따라서, 대칭선인 y = x도 같이 평행이동 됩니다!
다음과 같은 사실을 알고 있기 떄문이죠


이제 슬슬 감이 잡히시리라 생각되니
관련 문제들을 많이 풀어보시고 경험해보시기를 바랍니다~
4. 문제 해설

먼저, 대칭선 y = x를 그리고
기하적으로 모든 비율관계를 표시해보면

1단계. y = x 와 y = -x+5 의 교점을 구한다.
2단계. AB = 2k, BC = k 라 할 때, 직선과 평행이동 관계를 이용하여 k 값을 구한다.

3단계. 구한 k값을 이용하여 A의 좌표를 구한다.
4단계. A의 좌표를 지수함수 식에 대입하여 답을 구한다.
오늘 내용은 여기까지구요
다음 시간에는
지수/로그 함수 그래프 (4) - <심화내용 : 선대칭과 점대칭>으로 찾아뵙겠습니다
'밤샘수학 > 수학1 실전 개념' 카테고리의 다른 글
| [수학 1 실전 개념] 10강 : 지수/로그 함수 그래프 (5) - 스킬) 추론형 문제 - 대소관계 (0) | 2023.04.04 |
|---|---|
| [수학 1 실전 개념] 9강 : 지수/로그 함수 그래프 (4) - 스킬) 선분의 길이에 대한 마인드 + 종합적 사고 (2) | 2023.03.31 |
| [수학 1 실전 개념] 7강 : 지수/로그 함수 그래프 (2) - 정의역/치역/비율 (0) | 2023.03.29 |
| [수학 1 실전 개념] 6강 : 지수/로그 함수 그래프 (1) - 점근선&정점 (2) | 2023.03.28 |
| [수학 1 실전 개념] 5강 : 상수를 도입 하라 (0) | 2023.03.27 |
댓글
이 글 공유하기
다른 글
-
[수학 1 실전 개념] 10강 : 지수/로그 함수 그래프 (5) - 스킬) 추론형 문제 - 대소관계
[수학 1 실전 개념] 10강 : 지수/로그 함수 그래프 (5) - 스킬) 추론형 문제 - 대소관계
2023.04.04 -
[수학 1 실전 개념] 9강 : 지수/로그 함수 그래프 (4) - 스킬) 선분의 길이에 대한 마인드 + 종합적 사고
[수학 1 실전 개념] 9강 : 지수/로그 함수 그래프 (4) - 스킬) 선분의 길이에 대한 마인드 + 종합적 사고
2023.03.31 -
[수학 1 실전 개념] 7강 : 지수/로그 함수 그래프 (2) - 정의역/치역/비율
[수학 1 실전 개념] 7강 : 지수/로그 함수 그래프 (2) - 정의역/치역/비율
2023.03.29 -
[수학 1 실전 개념] 6강 : 지수/로그 함수 그래프 (1) - 점근선&정점
[수학 1 실전 개념] 6강 : 지수/로그 함수 그래프 (1) - 점근선&정점
2023.03.28