[수학 1 실전 개념] 5강 : 상수를 도입 하라

안녕하세요,
필수 유형에 대한
실전 개념 정리 입니다~
질문 사항은
아래 오픈챗 링크 혹은 메일로 보내주시면,
2시간 이내로 답변드리겠습니다.
오픈챗 링크 : https://open.kakao.com/o/srASNxef
메일 주소 : studying.all.night.1114@gmail.com
0. 대표 문제

올해 내신에 나올가능성이 높은 문제는 아니지만,
새로운 상수를 도입하는 접근 자체가 수학적으로 의미 있기에
학습의 가치가 있는 문제입니다.
특히, 지수와 로그가 동시에 등장하는 문제의 경우
길을 잘못들게 되면 계속 뫼비우스의 순환 고리에 빠져 버리므로 주의해야 합니다

1. 상수 K를 도입해야하는 이유 = 치환하는 이유
(1) 관련 예시

일단, 다음 마인드를 장착하는 것이 정신건강에 이롭습니다

즉 위의 상황처럼 등호 2개이상으로 연결된 식의 경우
대부분 상수를 도입하는 것이 유리합니다

그러므로 아래와 같은 문제들을 보면,
자동반사적으로 "상수를 도입해야 겠네~"라는 생각이 들어야 합니다

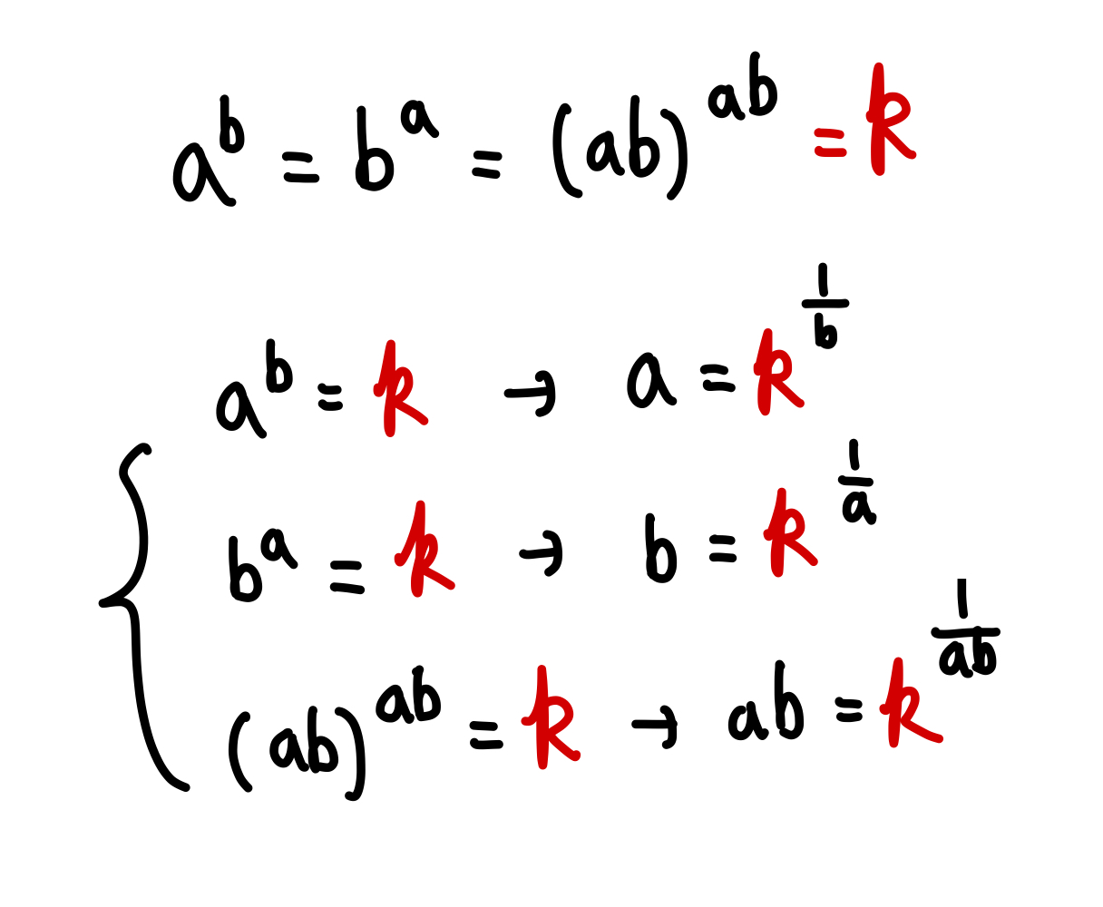
아래 처럼 말이죠

그런데 단순히 k만 도입하면 끝이 아니라,
k를 도입한 후 위 그림 처럼 1. 식을 쪼갠 후 2. 밑이 k인 지수식으로 바꾸어 줍니다
1. 식을 쪼개는 이유 => 식을 연립하기 위해서 입니다
2. 밑이 k인 지수식으로 바꾸는 이유 => 지수법칙을 활용하기 위해서 입니다
따라서, 이러한 과정을 정리하면 다음과 같은 행동강령을 발견할 수 있습니다

그렇다면 아래와 같은 상황에서 a+b값만 구하면 될 것 같은데
어떻게 연립하면 좋을까요?

(우변)을 밑이 k인 지수식으로 통일했으니,
지수법칙을 이용해야 겠다는 생각을 할 수 있고
(좌변)을 관찰해 보니 순서대로 a, b, ab이므로
(첫번째 식) X (두번째 식) = (세번째 식)의 형태로 연립할 수 있을 것 같습니다!
따라서, 아래 처럼 a+b를 우아하게 구할 수 있습니다~

이처럼, 상수를 새로이 도입할 때
"식이 더 복잡해지지 않을까?" 라는 생각은 잠시 접어두고
밑을 새로 도입한 상수로 통일 해준 후 지수 법칙을 사용해봐야 겠다
라는 생각으로 문제를 풀면 의외로 간단히 풀리는 문제를 볼 수 있습니다!
2. 문제 해설
(1) 조건 관찰하기

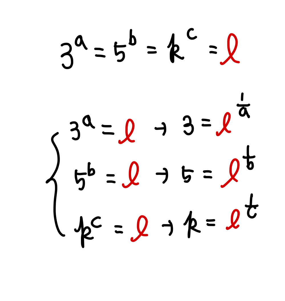
(가) 조건 -> "등호가 2개로 이루어진 식이네?" -> "새로운 상수를 도입해야 겠다 (k는 이미 있으니 l이 좋겠군)"
(나) 조건 -> "상용로그? 값을 이용할 것 같진 않고, 밑이 같으니까 로그 성질을 써야 겠다"
-> "양쪽다 밑이 같은 로그이니, 진수끼리 같다고 해도 되겠군"
(나) 조건 해석

이때, 중간에 중요한 마인드가 하나 있는데

따라서, (나) 조건은 최종적으로 다음과 같은 형태로 변형할 수 있습니다.

(가) 조건 해석


이제는 위의 변형식이 익숙하리라 생각합니다.
옆의 행동강령을 그대로 따라가면
밑을 새로운 미지수 L 로 통일할 수 있는 것이죠
(2) 변형된 조건을 이용하여 정답 도출하기
위에서 변형한 조건을 정리하면 다음과 같습니다


마지막으로 다음과 같이 (가) 조건을 연립한 뒤 (나) 조건으로 마무리 하면 됩니다~

오늘은 상수 k를 도입하는 실전 개념을 공부 했습니다.
아래 복습 문제를 한번 풀어보시고, 질문이 있을시 오픈 채팅방으로 편하게 질문 주세요

다음 시간에는 <지수/로그 함수 그래프 (1) - 점근선&정점>으로 찾아 뵙겠습니다~
'밤샘수학 > 수학1 실전 개념' 카테고리의 다른 글
| [수학 1 실전 개념] 7강 : 지수/로그 함수 그래프 (2) - 정의역/치역/비율 (0) | 2023.03.29 |
|---|---|
| [수학 1 실전 개념] 6강 : 지수/로그 함수 그래프 (1) - 점근선&정점 (2) | 2023.03.28 |
| [수학 1 실전 개념] 4강 : 지수의 연쇄법칙 (0) | 2023.03.26 |
| [수학 1 실전 개념] 3강 : 지수법칙 활용 - 유연한 사고 (0) | 2023.03.25 |
| [수학 1 실전 개념] 2강 : 거듭제곱근의 활용 - 특수 조건 (0) | 2023.03.23 |
댓글
이 글 공유하기
다른 글
-
[수학 1 실전 개념] 7강 : 지수/로그 함수 그래프 (2) - 정의역/치역/비율
[수학 1 실전 개념] 7강 : 지수/로그 함수 그래프 (2) - 정의역/치역/비율
2023.03.29 -
[수학 1 실전 개념] 6강 : 지수/로그 함수 그래프 (1) - 점근선&정점
[수학 1 실전 개념] 6강 : 지수/로그 함수 그래프 (1) - 점근선&정점
2023.03.28 -
[수학 1 실전 개념] 4강 : 지수의 연쇄법칙
[수학 1 실전 개념] 4강 : 지수의 연쇄법칙
2023.03.26 -
[수학 1 실전 개념] 3강 : 지수법칙 활용 - 유연한 사고
[수학 1 실전 개념] 3강 : 지수법칙 활용 - 유연한 사고
2023.03.25