[수학 1 실전 개념] 7강 : 지수/로그 함수 그래프 (2) - 정의역/치역/비율

안녕하세요, 필수 유형에 대한
실전 개념 정리 입니다~
질문 사항은
아래 오픈챗 링크 혹은 메일로 보내주시면,
2시간 이내로 답변드리겠습니다.
오픈챗 링크 : https://open.kakao.com/o/srASNxef
메일 주소 : studying.all.night.1114@gmail.com
본격적으로 오늘 강의 내용을 들어가기 앞서
앞으로의 목차를 먼저 살펴보도록 하겠습니다~

위 내용들은 이미 포스팅 했으니
보지 못하신 분들은 먼저 보고 오시기를 당부드립니다~


대략적으로 4월 중순에 모든 글들이 포스팅 완료될 예정입니다
다시 오늘 수업 내용으로 가봅시다
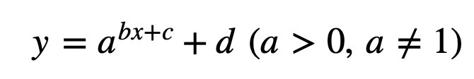
0. 대표 문제

위 4가지 함수의 차이에 대해 명확히 알고 있어야 합니다
풀이는 관련 개념 설명 뒤에 배치해 두었습니다~
1. 지수함수의 정의역과 치역
(1) 기본 형태

위와 같은 지수 함수의 정의역과 치역은 다음과 같습니다


6강에서 자세히 다루었던 그래프를 보면
지수함수는 기본적으로
정의역 : 실수전체
치역 : 양의 실수
임을 알 수 있습니다
(2) 평행이동과 대칭이동 시

위와 같이 지수함수가 평행이동 및 대칭이동 했을 경우
정의역은 변화가 없습니다. (정의역 : 항상 실수전체)
그러나
치역의 경우는
1. y축 방향으로의 평행이동 (점근선)
2. x축에 대하여 대칭이동
에 의하여 변하게 됩니다.
결론 부터 이야기 하자면

6강을 완벽하게 이해하셨다면
위의 내용이 당연한 것으로 받아들일 수 있습니다
혹시 몰라 예시 몇 가지를 보면

위 그림 처럼 y축 방향으로 평행이동만 했을 경우
(x축 방향으로의 대칭이동은 치역 영향 X)
치역의 부등호 방향은 그대로 이지만
점근선이 변헀으므로
y > 0 -> y > 1 로 값이 변하게 됩니다

x축에 대하여 대칭이동만 했을 경우
(y축으로의 대칭이동은 치역 영향 X)
치역의 값은 그대로 이지만
y > 0 -> y < 0 으로 부등호 방향이 변하게 됩니다

y축 방향으로의 평행이동과
x축에 대하여 대칭이동 했을 경우
치역의 값과 부등호 방향 모두 변하게 됩니다
*중요
이때, 우리가 얻어가야 할 점은
나중에 배울 지수/로그 방부등식 - 치환 부분에서
지수를 치환할 때
치환한 문자의 범위는 지수 함수의 치역과 같습니다


2. 로그함수의 정의역과 치역
(1) 기본 형태

위와 같은 로그 함수의 정의역과 치역은 다음과 같습니다


6강에서 자세히 다루었던 그래프를 보면
로그수는 기본적으로
정의역 : 양의 실수
치역 : 실수 전체
임을 알 수 있습니다
(2) 평행이동과 대칭이동 시

위와 같이 로그함수가 평행이동 및 대칭이동 했을 경우
치역은 변화가 없습니다. (치역 : 항상 실수전체)
그러나
정의역의 경우는
1. x축 방향으로의 평행이동 (점근선)
2. y축에 대하여 대칭이동
에 의하여 변하게 됩니다.
결론 부터 이야기 하자면

6강을 완벽하게 이해하셨다면
위의 내용이 당연한 것으로 받아들일 수 있습니다
혹시 몰라 예시 몇 가지를 보면

위 그림 처럼 x축 방향으로 평행이동만 했을 경우
(y축 방향으로의 대칭이동은 정의역 영향 X)
정의역의 부등호 방향은 그대로 이지만
점근선이 변했으므로
x > 0 -> x > -1 로 값이 변하게 됩니다

y축에 대하여 대칭이동만 했을 경우
(x축으로의 대칭이동은 정의역 영향 X)
정의역의 값은 그대로 이지만
x > 0 -> x < 0 으로 부등호 방향이 변하게 됩니다

x축 방향으로의 평행이동과
y축에 대하여 대칭이동 했을 경우
정의역의 값과 부등호 방향 모두 변하게 됩니다
*중요
이때, 우리가 얻어가야 할 점은
나중에 배울 지수/로그 방부등식 - 치환 부분에서
로그를 치환할 때
치환한 문자의 범위는 로그 함수의 치역과 같습니다
그러므로, 로그를 치환할 경우
항상 실수전체가 됩니다
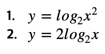
(3) 로그함수의 정의역에 대한 고찰 (심화)
아래 두 함수를 비교해보도록 합시다

첫 번째 함수의 정의역은 얼마일까요?
정의역은 기본적으로 원래 형태에서 관찰해야 합니다

그러므로 아래와 같이 정의역을 구하는 것은 틀린 방법입니다

따라서, 로그의 정의 -> (진수) > 0 임을 이용하면

따라서
첫번째 로그 함수의 정의역 : 0이 아닌 실수 전체
두번째 로그 함수의 정의역 : 양의 실수
이므로, 두 그래프를 그려보면

수식적으로는 차이가 없는듯 보이나
함수의 정의역 자체가 다르므로
서로 다른 함수가 됩니다.
3. 지수/로그 함수의 비율 관계!!
(1) 지수 함수의 비율 관계

위의 두 지수함수는 서로 어떤 관계가 있을까요?
대수적으로 좀 더 비교해 보면

밑을 2로 동일하게 변형해주면
1:2의 비율관계를 발견할 수 있습니다
실제로, 그래프를 그려보면

즉, y축과에 수선을 내렸을 때
길이의 비율이 1 : 2 임을 알 수 있습니다!
두 가지 예시를 더 살펴보도록 합시다

마찬가지로 먼저 대수적으로 비교해보면

밑을 2로 동일하게 변형해 줬을 때
지수(x값)의 비율이 3:4임을 알 수 있습니다.
이후 그래프를 그려서 비율은 표시해보면

비율관계를 쉽게 알 수 있습니다!
마지막 지수함수 예시를 살펴보면


같은 방식으로 비율을 구할 수 있습니다~
(2) 로그 함수의 비율 관계

위 3가지 로그함수의 관계에 대해 알아보고
이번 포스팅을 끝마치도록 하겠습니다

먼저, 위의 두 로그함수는 어떤 관계일까요?

그렇죠
y축 방향으로 +1 만큼의 평행이동 관계임을 알 수 있습니다.

따라서,
y좌표의 차이가 1로 일정하게 되죠.
그렇다면, 다음 두 그래프는 서로 어떤 관계 일까요?

대수적으로만 보아도 y좌표의 비율이 1:2임을 알 수 있습니다

따라서, x값이 같을 때
y값의 비율이 1:2로 일정하게 됩니다
정리해보면,

4. 문제 해설


마지막으로 아래 복습 문제 풀어보시고,

다음 시간에는 < 지수/로그 함수 그래프 (3) - 역함수 >로 찾아뵙겠습니다~
화이팅!
'밤샘수학 > 수학1 실전 개념' 카테고리의 다른 글
| [수학 1 실전 개념] 9강 : 지수/로그 함수 그래프 (4) - 스킬) 선분의 길이에 대한 마인드 + 종합적 사고 (2) | 2023.03.31 |
|---|---|
| [수학 1 실전 개념] 8강 : 지수/로그 함수 그래프 (3) - 역함수 (2) | 2023.03.30 |
| [수학 1 실전 개념] 6강 : 지수/로그 함수 그래프 (1) - 점근선&정점 (2) | 2023.03.28 |
| [수학 1 실전 개념] 5강 : 상수를 도입 하라 (0) | 2023.03.27 |
| [수학 1 실전 개념] 4강 : 지수의 연쇄법칙 (0) | 2023.03.26 |
댓글
이 글 공유하기
다른 글
-
[수학 1 실전 개념] 9강 : 지수/로그 함수 그래프 (4) - 스킬) 선분의 길이에 대한 마인드 + 종합적 사고
[수학 1 실전 개념] 9강 : 지수/로그 함수 그래프 (4) - 스킬) 선분의 길이에 대한 마인드 + 종합적 사고
2023.03.31 -
[수학 1 실전 개념] 8강 : 지수/로그 함수 그래프 (3) - 역함수
[수학 1 실전 개념] 8강 : 지수/로그 함수 그래프 (3) - 역함수
2023.03.30 -
[수학 1 실전 개념] 6강 : 지수/로그 함수 그래프 (1) - 점근선&정점
[수학 1 실전 개념] 6강 : 지수/로그 함수 그래프 (1) - 점근선&정점
2023.03.28 -
[수학 1 실전 개념] 5강 : 상수를 도입 하라
[수학 1 실전 개념] 5강 : 상수를 도입 하라
2023.03.27