[수학 1 실전 개념] 12강 : 지수/로그 실생활 활용 - 유형(1)

안녕하세요, 밤샘공부 입니다~
질문 사항은
아래 오픈챗 링크 혹은 메일로 보내주시면,
2시간 이내로 답변드리겠습니다.
오픈챗 링크 : https://open.kakao.com/o/srASNxef
메일 주소 : studying.all.night.1114@gmail.com
원래 실생활 활용 문제의 경우,
그리 어려운 유형이 아니기 때문에 강의를 쓰지 않으려 했습니다.
다만, 생각보다 학생들이 힘들어하는 유형인 것 같아 최대한 자세히 써보도록 하겠습니다.
지수/로그 방부등식의 활용 문제는 크게 2가지 유형으로 나뉩니다.
1. 식 2개를 쓴 뒤 연립하는 유형
2. 처음 부터 식을 직접 쓴 뒤 양변에 로그를 씌우는 유형
이 두 유형을 분류하여 설명을 드리겠습니다~
의외로 양이 너무 길어져서 1, 2로 쪼갰습니다~
0. 대표 문제
(1) 식 2개를 쓴 뒤 연립하는 유형

(2) 처음 부터 식을 직접 쓴 뒤 양변에 로그를 씌우는 유형

풀어 보신 문제라면, 제가 왜 저렇게 유형을 두가지로 나누었는지 납득이 되실 겁니다.
납득이 안되시더라도, 아래 실전 개념 설명을 듣고 마지막에 있는 대표문제 해설까지 보기를 권장드립니다~
1. 식 2개를 쓴 뒤 연립하는 유형 - '구조도'를 생각하라
사실, 실생활의 활용문제는 어렵다기 보다 문제가 너무 길기 때문에 '풀기 꺼려지는 유형' 중 하나입니다.
반대로 말하면, 단순히 문제가 긴 것 뿐이기에 난이도는 높지 않습니다.
따라서, 비문학 지문을 읽듯 구조도를 머릿속에 작성하면서 읽으면 빠르게 풀어낼 수 있습니다.
기본적인 전략은 다음과 같으니 이를 숙지하여 키워드만 뽑아내도록 합시다.
1단계) 조건을 두 종류로 구분한다. (2개의 식을 쓸 것 이므로.)
2단계) 1단계에서 구분한 조건들을 이용하여 2개의 식을 쓴다.
3단계) 구하고자 하는 답의 형태를 바탕으로 2개의 식을 연립한다.
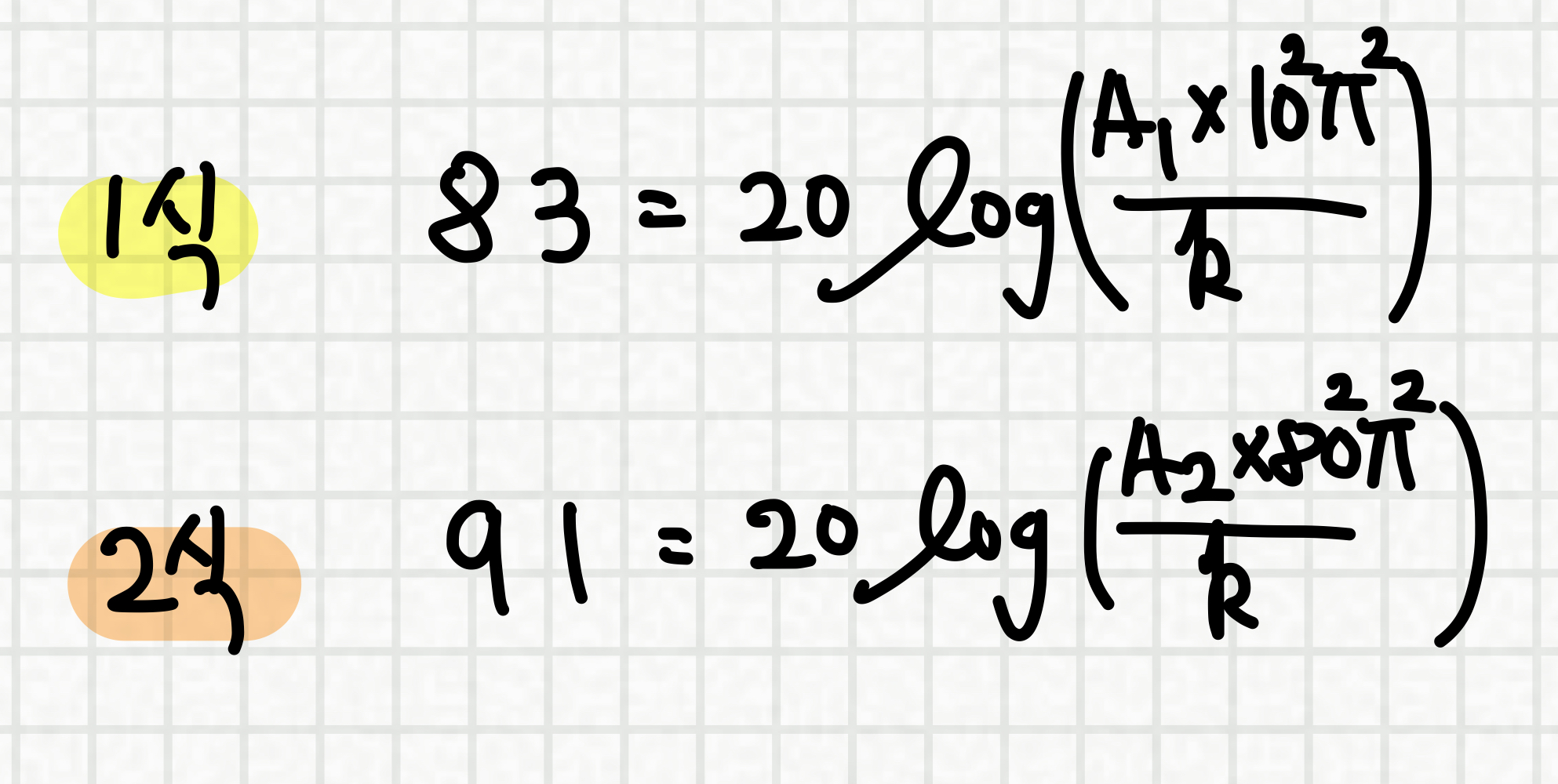
(1) 예시 1 - 2016 실시 4월 교육청

1단계) 조건을 두 종류로 구분하기
위 문제를 읽어가며 "2개의 식을 쓰기 위한 두 조건으로 분류해 봅시다."

<머릿속에서 이루어져야 하는 구조도>

2단계) 1단계에서 구한 조건으로 두 가지 식 쓰기
따라서, 이를 바탕으로 아래와 같은 식을 쓸 수 있습니다.

3단계) 답의 형태를 관찰한 뒤 두 식을 연립하여 답 도출하기
A2/A1을 구해야 하므로, A2/A1를 제외한 다른 미지수들은 모두 없애야 합니다.
이때 두 식을 나눌 경우에는 k가 사라지지 않으므로 두 식을 뺌으로써 k를 없애줘야 합니다.

(2) 예시 2

1단계) 조건을 두 종류로 구분하기
위 문제를 읽어가며 "2개의 식을 쓰기 위한 두 조건으로 분류해 봅시다."

<머릿속에 이루어져야 하는 구조도>

2단계) 1단계에서 구한 조건으로 두 가지 식 쓰기
따라서, 이를 바탕으로 아래와 같은 식을 쓸 수 있습니다.

3단계) 답의 형태를 관찰한 뒤 두 식을 연립하여 답 도출하기
k를 구해야 하므로, k를 제외한 다른 미지수들은 모두 없애야 합니다.
이때 두 식을 뺄 경우 C가 사라지지 않으므로, 두 식을 나누어서 C를 없애야 합니다.

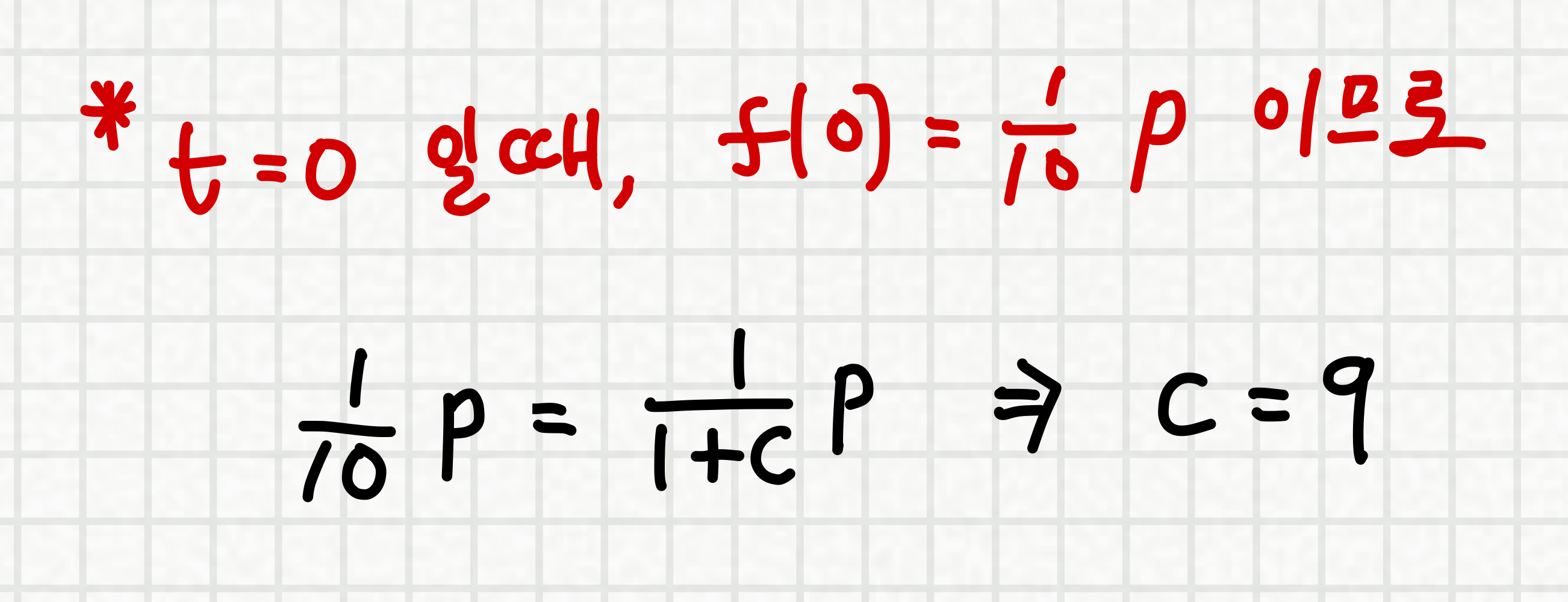
(3) 예시 3 - 고난도 (어려우면 넘기세요~)

1단계) 조건을 두 종류로 구분하기
위 문제를 읽어가며 "2개의 식을 쓰기 위한 두 조건으로 분류해 봅시다."

빨간글씨는 새로이 등장한 미지수를 체크해 둔 것이고,
노란형광색 - 첫번째 식의 조건
주황형광색 - 두번째 식의 조건
으로 보면 됩니다.
*특이하게 이문제는, t = 0 일때 조건이 나와있어서 이를 이용하여 c를 구해두어야 합니다.
(고난도 문제에 해당함 - 다른 문제들은 곧 바로 식을 쓰면 되는 반면 초기 식으로 미지수를 구해야함)

2단계) 1단계에서 구한 조건으로 두 가지 식 쓰기
따라서, 이를 바탕으로 아래와 같은 식을 쓸 수 있습니다.

3단계) 답의 형태를 관찰한 뒤 두 식을 연립하여 답 도출하기
앞선 두가지 예시에 비하여 조금 어려운 문제에 속합니다.

2. 숙제

위에서 푼 3문제를 확실하게 이해하셨다면 위 문제는 그냥 풀리리라 생각됩니다.
답은 2번입니다.
바로 이어서, 지수/로그 실생활 활용 - 유형(2)를 올리도록 하겠습니다.
'밤샘수학 > 수학1 실전 개념' 카테고리의 다른 글
| [수학 1 실전 개념] 14강 : 삼각함수의 정의 (0) | 2023.04.14 |
|---|---|
| [수학 1 실전 개념] 13강 : 지수/로그 실생활 활용 - 유형(2) (0) | 2023.04.04 |
| [수학 1 실전 개념] 11강 : 지수 방부등식 - 치환 (범위에 유의하기) (0) | 2023.04.04 |
| [수학 1 실전 개념] 10강 : 지수/로그 함수 그래프 (5) - 스킬) 추론형 문제 - 대소관계 (0) | 2023.04.04 |
| [수학 1 실전 개념] 9강 : 지수/로그 함수 그래프 (4) - 스킬) 선분의 길이에 대한 마인드 + 종합적 사고 (2) | 2023.03.31 |
댓글
이 글 공유하기
다른 글
-
[수학 1 실전 개념] 14강 : 삼각함수의 정의
[수학 1 실전 개념] 14강 : 삼각함수의 정의
2023.04.14 -
[수학 1 실전 개념] 13강 : 지수/로그 실생활 활용 - 유형(2)
[수학 1 실전 개념] 13강 : 지수/로그 실생활 활용 - 유형(2)
2023.04.04 -
[수학 1 실전 개념] 11강 : 지수 방부등식 - 치환 (범위에 유의하기)
[수학 1 실전 개념] 11강 : 지수 방부등식 - 치환 (범위에 유의하기)
2023.04.04 -
[수학 1 실전 개념] 10강 : 지수/로그 함수 그래프 (5) - 스킬) 추론형 문제 - 대소관계
[수학 1 실전 개념] 10강 : 지수/로그 함수 그래프 (5) - 스킬) 추론형 문제 - 대소관계
2023.04.04