[수학 1 실전 개념] 3강 : 지수법칙 활용 - 유연한 사고

안녕하세요,
필수 유형에 대한
실전 개념 정리 입니다~
질문 사항은
아래 오픈챗 링크 혹은 메일로 보내주시면,
2시간 이내로 답변드리겠습니다.
오픈챗 링크 : https://open.kakao.com/o/srASNxef
메일 주소 : studying.all.night.1114@gmail.com
0. 대표 문제
<1분 정도 고민해주세요!> - 그간 배웠던 개념을 떠올리면 좋습니다

형태가 비슷하여 풀이법이 헷갈릴 수 있는 문제이니,
이번 기회에 잘 정리해두면 실제 시험에서 당황하지 않을 수 있습니다.
1. 곱셈공식 정리
유형 설명 : 해당 유형 문제들은, 고1 수(상) 내용의 곱셈공식을 이용해야 합니다.
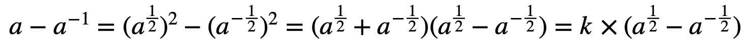
또한, (합)*(차) = (제곱의 차) 임을 당연하게 받아들이고 활용까지 해야 합니다.
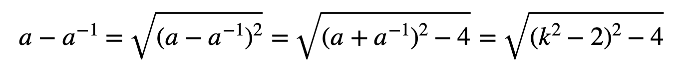
(1) 제곱 형태

왼쪽과 같은 값이
문제에서 주어졌다고 가정합시다.
① 제곱의 합 구하는 과정

② 제곱의 차를 구하는 과정


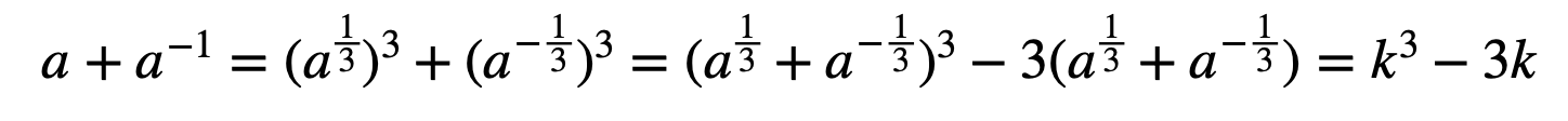
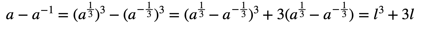
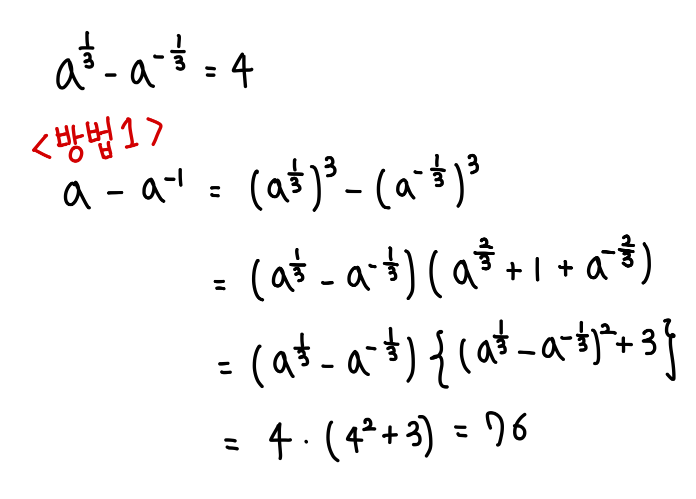
(2) 세제곱 형태

왼쪽과 같은 값이
문제에서 주어졌다고 가정합시다.
① 세제곱의 합을 구하는 과정


② 세제곱의 차를 구하는 과정



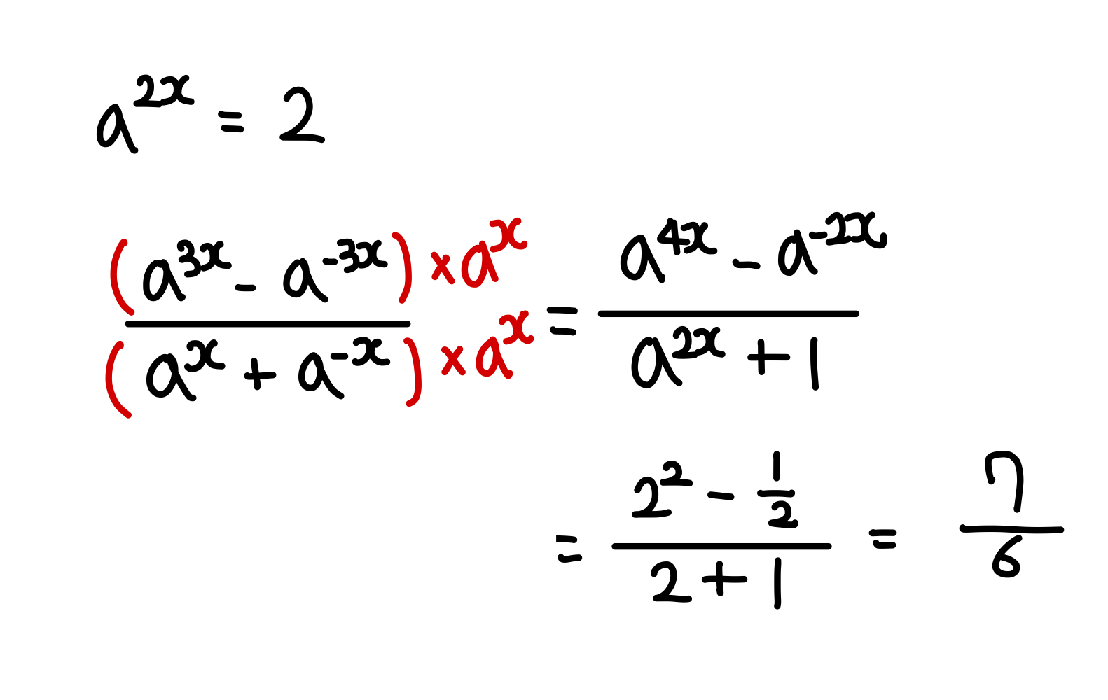
2. 식의 변형
유형설명 : 곱셈공식을 이용하여 문제를 풀기 어려울 때, 보통 분모 분자에 일정한 값을 곱하면 문제가 풀립니다.

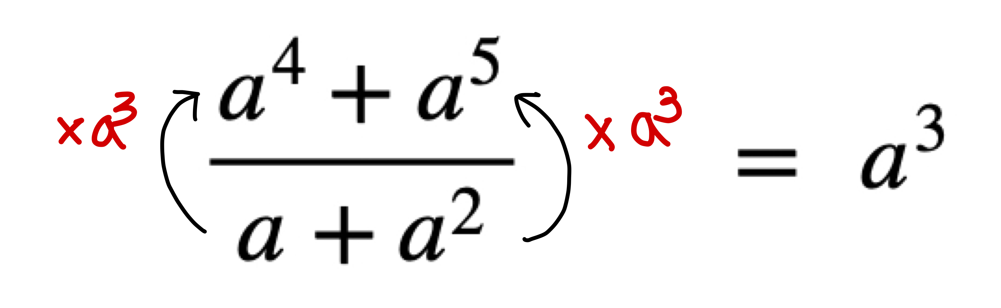
3. 약분
유형 설명 : 해당 유형 문제들은, 묶어서 풀 수도 있으나 곱의 형태로 바로 관찰하여 답을 도출하는 것이 훨씬 빠릅니다.
이때, 분자의 순서가 반대가 되는 "크로스 약분"에 주의해야 합니다.
(1) 정방향 약분
① 작은 예시 (추론하기)

② 일반화

그렇다면,
좌측 그림의 값을 얼마가 될까요?

(2) 크로스 약분
① 작은 예시 (추론하기)

② 일반화

그렇다면,
좌측 그림의 값을 얼마가 될까요?

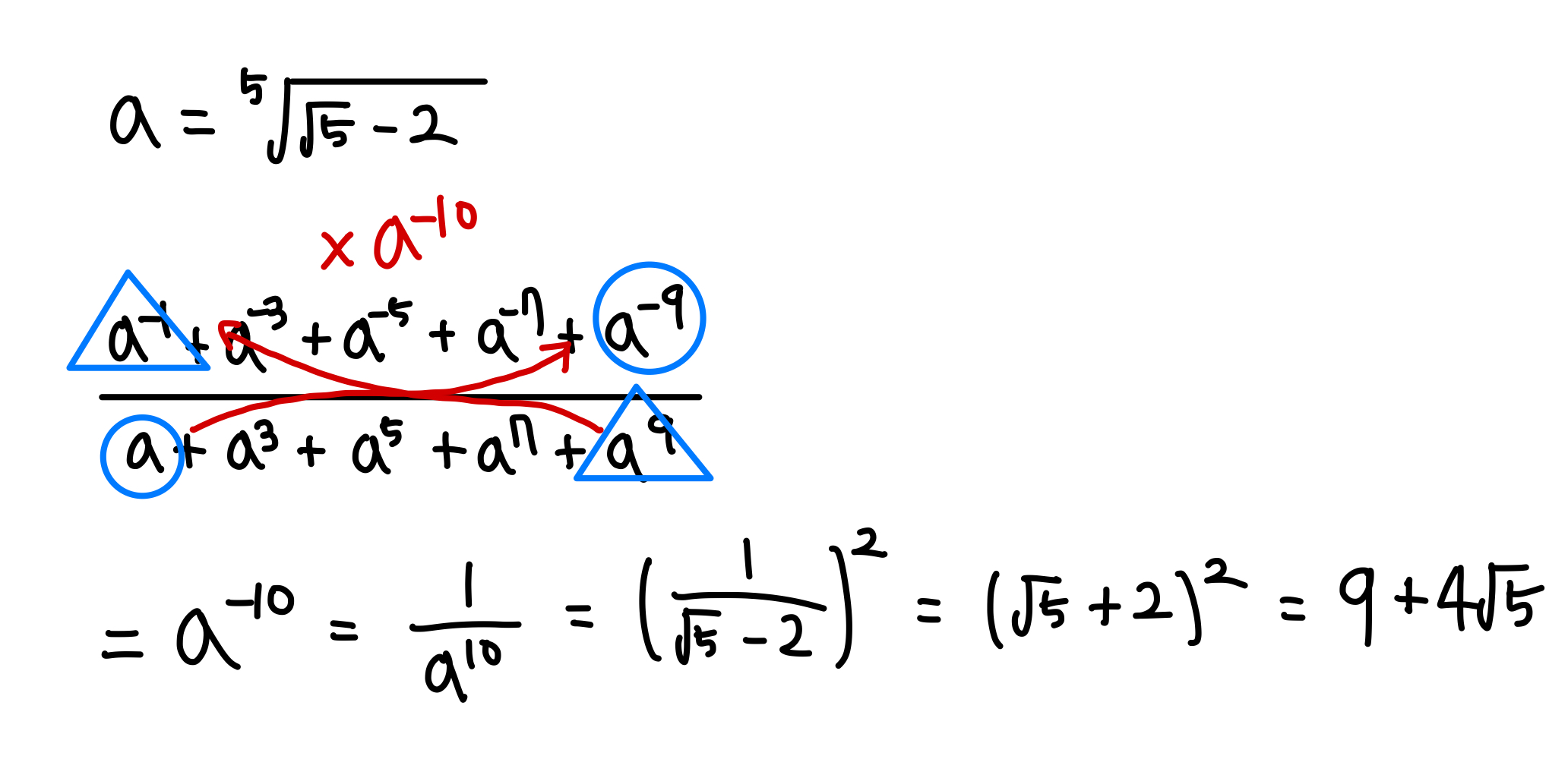
4. 치환
유형 설명 : 해당 유형 문제들은, 앞의 1, 2, 3으로 해결 되지 않은 문제들을 치환하여 풀 수 있도록 합니다.
특히, 아래 문제의 경우 값을 암기하고 있는 것이 유리합니다.

좌측값은
암기하고 있어야 합니다. 값은 아래 식을 보면 됩니다.

5. 문제 해설

(1) 1번 문제의 경우, 세제곱의 곱셈공식을 활용하면 쉽게 해결할 수 있습니다. 물론, 방법 2가지 다 사용 가능합니다.


(2) 2번 문제의 경우, 분모 분자에 적당한 값을 곱하면 계산이 가능합니다. (곱셈공식으로 풀기 어려움)

(3) 3번 문제의 경우, 크로스 약분을 이용할 수 있습니다.

(4) 4번 문제의 경우, 치환하여 문제를 간단하게 해결할 수 있습니다.

'밤샘수학 > 수학1 실전 개념' 카테고리의 다른 글
| [수학 1 실전 개념] 6강 : 지수/로그 함수 그래프 (1) - 점근선&정점 (2) | 2023.03.28 |
|---|---|
| [수학 1 실전 개념] 5강 : 상수를 도입 하라 (0) | 2023.03.27 |
| [수학 1 실전 개념] 4강 : 지수의 연쇄법칙 (0) | 2023.03.26 |
| [수학 1 실전 개념] 2강 : 거듭제곱근의 활용 - 특수 조건 (0) | 2023.03.23 |
| [수학 1 실전 개념] 1강 : 거듭제곱근의 정의 (0) | 2023.03.22 |
댓글
이 글 공유하기
다른 글
-
[수학 1 실전 개념] 5강 : 상수를 도입 하라
[수학 1 실전 개념] 5강 : 상수를 도입 하라
2023.03.27 -
[수학 1 실전 개념] 4강 : 지수의 연쇄법칙
[수학 1 실전 개념] 4강 : 지수의 연쇄법칙
2023.03.26 -
[수학 1 실전 개념] 2강 : 거듭제곱근의 활용 - 특수 조건
[수학 1 실전 개념] 2강 : 거듭제곱근의 활용 - 특수 조건
2023.03.23 -
[수학 1 실전 개념] 1강 : 거듭제곱근의 정의
[수학 1 실전 개념] 1강 : 거듭제곱근의 정의
2023.03.22