[기하 실전 개념 4강] 포물선과 접선 총 정리

안녕하세요, 밤샘공부 입니다~
질문 사항은
아래 오픈챗 링크 혹은 메일로 보내주시면,
2시간 이내로 답변드리겠습니다.
오픈챗 링크 : https://open.kakao.com/o/srASNxef
메일 주소 : studying.all.night.1114@gmail.com
오늘도 여러분께 수학적 통찰을 주는 강의가 되었으면 합니다.
영상이 편하신 분은 아래 링크로 강의 보시면 됩니다.
영상강의 링크 : https://youtu.be/Ce3NUqF2JCo
학습지 파일 링크 : https://study-all-night.tistory.com/167
[0] INTRO
본격적인 강의에 앞서,
먼저 전체적인 내용을 훑어 보고 들어가겠습니다.
1. 포물선 접선 공식
1) 기울기가 주어진 경우 / 기울기 m

2) 접점이 주어진 경우 / 접점(x1, y1)

*포물선이 평행이동 되었을 경우
-> 평행이동 전 기본 형태를 기준으로 접선을 구한 뒤,
다시 접선을 평행이동해서 원상 복귀!
위 공식에 대한
자세한 증명은 아래에서 다룰 예정입니다.
2. 준선 위의 한 점에서 그은 접선

위 그림과 같이
준선 위의 한 점에서 포물선에 접선을 그을 경우에는
두 접선이 항상 서로 수직합니다!
마찬가지로 그 증명은 아래에서 다룹니다.
3. 포물선의 접선에 의한 마름모

포물선 위의 임의의 점 P에서 그은 접선과 관련된
마름모를 위 그림과 같이 표시할 수 있습니다.
마찬가지로 자세한 내용은 아래에서 다룹니다.
[1] 포물선 접선 공식
0. 포물선 접선 공식의 핵심원리 KEY
결국 포물선 접선 공식의 유도 방식의 원리는
방법1. D = 0
방법2. 음함수의 미분법
이 두가지에 기초합니다.
다만, 기하를 배우는 학생의 경우
아직 미적분 학습이 되어있지 않을 수 있기에
방법2는 본 포스팅에서 자세히 다루지 않습니다.
따라서 방법1
"판별식 = 0" 일때 "직선이 이차곡선에 접한다"
라는 사실을 이용하여 공식들을 증명해 나갈 예정입니다.
그렇기에
공식은 암기하시되,
증명 과정은 하나하나 외우지 말고
공식 증명은 "판별식 = 0" 을 이용하는구나~!
라고만 알고 계시면 충분합니다.
본격적인 증명 시작합니다.
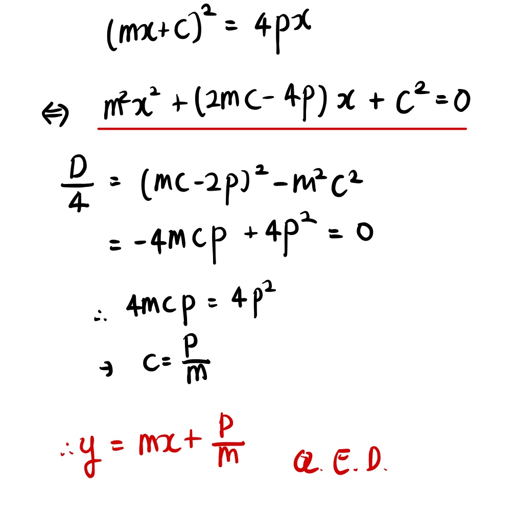
1. 기울기가 주어진 경우
접선의 기울기가 m으로 주어졌다고 가정하고,
포물선의 방정식은 y^2 = 4px 인 상황이라고 합시다.

이때 위 사진 처럼 접선의 방정식을 y = mx+c 라 두겠습니다.
이후 포물선의 방정식에 이를 대입하여 판별식 = 0 을 써봅시다.

그러면 위 사진 처럼 c 값을 구할 수 있고, 쉽게 공식이 증명됩니다.
x^2 = 4py 의 경우도 마찬가지로
y = mx+c 라고 가정하고 대입한 뒤 판별식 = 0을 써주면
쉽게 증명됩니다.
따라서 다음 사진의 공식을 암기하시면 됩니다.

2. 접점이 주어진 경우
접점의 좌표가 (x1, y1)으로 주어졌다고 가정하고,
포물선의 방정식은 y^2 = 4px 인 상황이라고 합시다.

그리고 기울기를 m이라 가정하면
위 사진 처럼 접선의 방정식을 y = m(x-x1) + y1 이라 둘 수 있습니다.
이때 y = mx + p/m 임을 위에서 증명했으므로,

위와 같이 m을 x1, y1으로 표현 가능합니다.
이때, (x1, y1)을 포물선 방정식에 대입한 y1^2 = 4px1 이라는 식이
본 증명의 핵심이라고 생각하시면 됩니다.
이후에 다음과 같이 공식 형태로 정리하면 됩니다.

따라서 다음과 같이 공식이 정리됩니다.

3. 예제 풀어보기
쉬운 예시들 몇가지 풀어보겠습니다.
(해설을 보기전 직접 한번 종이에 풀어보시면 큰 도움 될겁니다)
*해설은 예제3 뒤에 있습니다.
예제1) 기울기가 주어진 경우

예제2) 접점이 주어진 경우

예제3) 곡선밖의 한 점이 주어진 경우

<손글씨 해설>

[2] 준선 위의 한 점에서 그은 접선

준선 위의 임의의 점 P에서 포물선에 그은 두 접선은
"항상 수직합니다."
1. 증명
포물선의 방정식이 y^2 = 4px 일때
준선의 방정식은 x = -p 이므로
준선 위의 한점을 (-p, c) 라 둡시다. (c는 그냥 상수)
그리고 접선의 기울기를 m이라 하면
다음과 같은 접선 식을 쓸 수 있습니다.
이후 이 식에 (-p, c)를 대입해 봅시다.

자 그럼이제 뭔가 각이 보이지 않나요?
그쵸.
근과 계수의 관계를 써주면 왜 두직선이 수직인지 알 수 있습니다.

증명 완료.
혹여 오해하실까봐 하는 말인데,
준선위에 아무 점에서나 그어도.
포물선에 그은 두 접선은 서로 수직합니다.
다만, 준선 위의 점이 아닌 점의 경우
두 접선을 긋더라도 수직이 아니겠죠?
이제 위 개념을 활용한 문제 하나를 풀어봅시다.
(마찬가지로 해설 보기전에 먼저 풀어보시길 권장드립니다.)
2. 활용 문제

.
.
.
.
.
꼭 먼저 풀어보세요!
.
.
.
.
.
<손글씨 해설>

[3] 포물선의 접선에 생기는 마름모
1. 마름모인 이유

다음과 같은 순서로
사각형 QPFR 이 마름모임을 보이겠습니다.
(1) QP = RF & QP // RF -> 평행사변형임
(2) QP = PF -> 마름모임 (증명 끝)
(1)의 증명과정

(2)의 증명과정
포물선의 정의에 의하여 QP = PF
따라서 (1), (2)에 의거.
사각형 QPFR는 마름모입니다.
2. 활용 문제

조금 난이도가 있을 수 있지만 한번 풀어보시길 권장드립니다!
준선과 초점을 표시한 뒤
마름모임에 집중하면 매우 쉽게 풀립니다.
.
.
.
.
꼭 한번 풀어보세요
.
.
.
.
<손글씨 해설>
준선이 x = 0 이므로
일단 다음과 같이 마름모 표시를 먼저 해줍니다.

이후 초점과 준선사이의 거리가 2임을 이용합시다. (p=1 이므로)

이때 구하는 것이 접선의 기울기 이기 때문에
피타고라스의 정리를 사용해주면 답이 바로 나옵니다.

오늘 4강에서는 포물선과 접선 총정리에 대해 공부했습니다.
다음 5강에서는 타원에 대해 공부할 예정이며
학습지를 꼭 풀어보신 뒤 유튜브에 있는
해설 영상까지 보셔서 오늘 내용을 체화시키길 권장드립니다!
개념 영상 : https://youtu.be/Ce3NUqF2JCo
해설 영상 : https://youtu.be/a1R5Y4EBh24
그럼 다음 강의에서 뵙겠습니다. 화이팅!
'밤샘수학 > 기하 실전 개념' 카테고리의 다른 글
| [기하 실전 개념 6강] 타원의 접선 총정리 (1) | 2024.10.03 |
|---|---|
| [기하 실전 개념 5강] 타원의 방정식 총정리 (2) | 2024.10.01 |
| [기하 실전개념 학습지 파일 정리] (0) | 2024.09.25 |
댓글
이 글 공유하기
다른 글
-
[기하 실전 개념 6강] 타원의 접선 총정리
[기하 실전 개념 6강] 타원의 접선 총정리
2024.10.03 -
[기하 실전 개념 5강] 타원의 방정식 총정리
[기하 실전 개념 5강] 타원의 방정식 총정리
2024.10.01 -
[기하 실전개념 학습지 파일 정리]
[기하 실전개념 학습지 파일 정리]
2024.09.25