[2023년 3월 모의고사 - 고3] 공통 전반부(1번~15번) 해설 - 요약
2023 3월 모의고사 공통 1번

[핵심 key Point]
=> 지수 법칙을 이용한 단순 계산
[자세한 해설]
=> 생략
2023 3월 모의고사 공통 2번

[핵심 key Point]
=> 다항함수의 미분법을 이용한 단순 계산
[자세한 해설]
=> 생략
2023 3월 모의고사 공통 3번

[핵심 key Point]
=> 등비수열의 일반항
[자세한 해설]
=> 초항과 공비를 둘다 미지수로 잡고 연립하는 것 보다,
주어진 5번째 항의 값과 공비를 이용하여 다른항을 표현해야 계산을 줄일 수 있다.
2023 3월 모의고사 공통 4번

[핵심 key Point]
=> 부정적분은 미분하고 대입하고 관찰한다.
[자세한 해설]
=> 당연히 x=1 을 대입하고, 양변을 미분해야 한다.
2023 3월 모의고사 공통 5번

[핵심 key Point]
=> 삼각함수의 정의 + 사분면에 따른 부호 주의
[자세한 해설]
=> 삼각함수를 간단히 표현하고, 각이 제 3사분면임을 파악하는 것이 중요하다.
2023 3월 모의고사 공통 6번

[핵심 key Point]
=> 연속의 정의
[자세한 해설]
=> 좌극한과 우극한이 같음을 이용
2023 3월 모의고사 공통 7번

[핵심 key Point]
=> 이차함수의 정적분 공식
[자세한 해설]
=> 그저 정적분 식을 쓰는 것 보다, 구하고자 하는 넓이를
(직사각형)+(공식을 쓸수 있는 넓이)로 쪼개면 계산이 간편하다.
2023 3월 모의고사 공통 8번

[핵심 key Point]
=> 로그 방정식
[자세한 해설]
=> 내분점 공식을 까먹지 않았다면, 로그 방정식을 잘 풀기만 하면 된다.
2023 3월 모의고사 공통 9번

[핵심 key Point]
=> 절댓값이 있는 삼차함수의 그래프 해석
[자세한 해설]
=> 먼저 g(x) = x^3-3x^2 그래프를 그린 뒤, y축으로 평행이동해가며 그 형태를 관찰한다.
그때, 극댓값이 2개 존재하며 그 값이 같으려면 매우 특수한 경우임을 인지해야 한다.
g(x) + p 의 그래프의 극대/극소가 서로 절댓값은 같고 부호만 반대임을 파악했다면
삼차함수의 다섯개의 특수한 점을 그래프에 찍었을 때, y = g(x) + p 그래프가 (1, 0)을 지나야 한다.
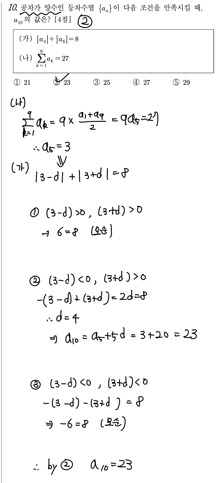
2023 3월 모의고사 공통 10번

[핵심 key Point]
=> 등차수열의 합은 평균 * 개수 이다.
[자세한 해설]
=> (나) 조건을 먼저 해석하면, 5번째 항의 값이 3임을 알 수 있다.
이후, (가) 조건에서 (3-d)와 (3+d)의 부호에 따른 경우를 3가지로 나눈 뒤
조건을 써보면 답이 나오는 경우는 1가지 뿐이다.
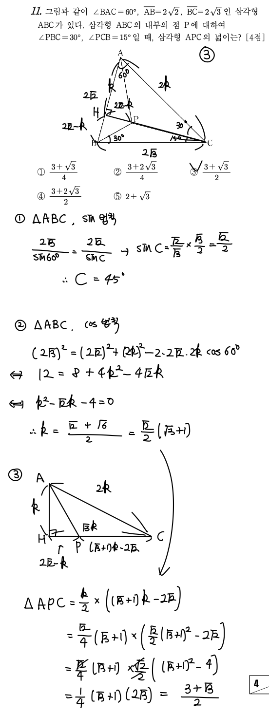
2023 3월 모의고사 공통 11번
[

핵심 key Point]
=> sin 법칙과 cos 법칙을 통한 특수각의 발견, 복잡한 계산 마무리
[자세한 해설]
=> 먼저 △ABC에 sin 법칙을 적용하면 각C의 크기가 45도 임을 알 수 있고.
이를 이용하면 직선 CP가 선분 AB와 수직임을 알 수 있다.
이때 수선의 발을 H라 하면, △ACH와 △CDH는 모두 직각삼각형이 된다.
=> 따라서, AC의 길이를 2k라 두고 표현할 수 있는 모든 길이를 k에 대하여 표현한다.
이후 다시 △ABC에 cos 법칙을 적용하면 k값을 구할 수 있고,
=> △APC의 넓이도 구할 수 있다.
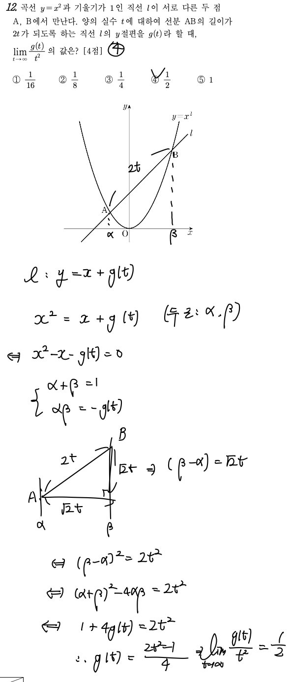
2023 3월 모의고사 공통 12번

[핵심 key Point]
=> 극한식의 활용
[자세한 해설]
=> 생략
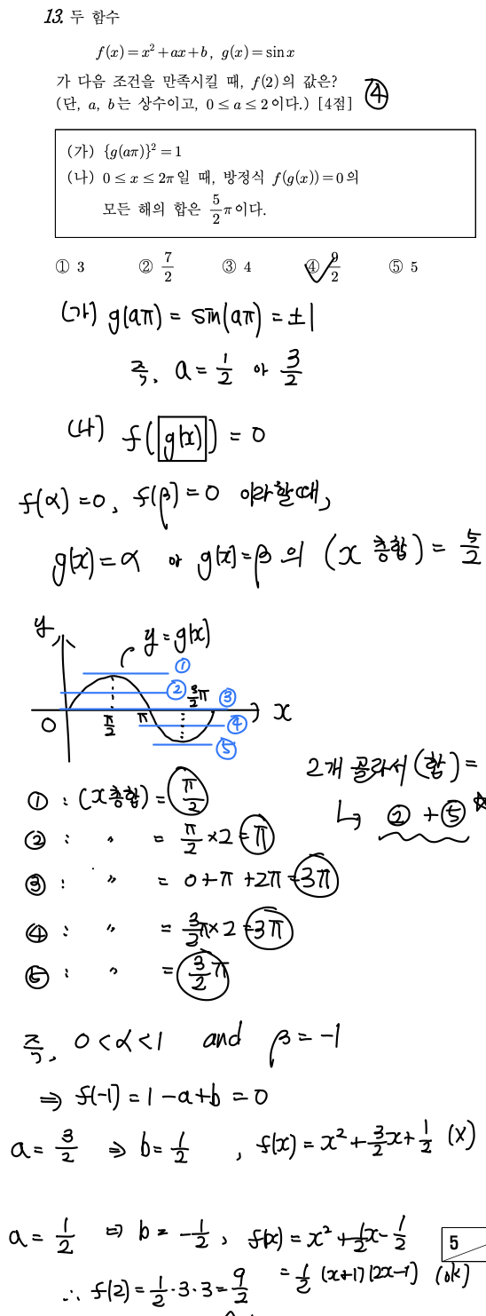
2023 3월 모의고사 공통 13번

[핵심 key Point]
=> 합성함수의 근을 해석하는 방법
[자세한 해설]
=> (가) 조건에 의하여 a는 1/2 또는 3/2 가 된다.
=> (나) 조건에서, f(x)가 최대 두근을 가지므로 각각의 근을 α와 β로 가정한다.
즉, (g(x) = α의 근의 합) + (g(x) = β의 근의 합) = (5/2)ㅠ
=> 따라서, g(x) = (어떤 상수) 의 근의 합을 ①, ②, ③, ④, ⑤경우로 나누어 생각한다.
이때 ② + ⑤ 의 값이 정확히 (5/2)ㅠ 이므로 0 < α < 1 , β = -1 임을 알 수 있다.
=> (가) 조건에 의한 a 두 값을 경우 나누어 대입하면, 답을 구할 수 있다.
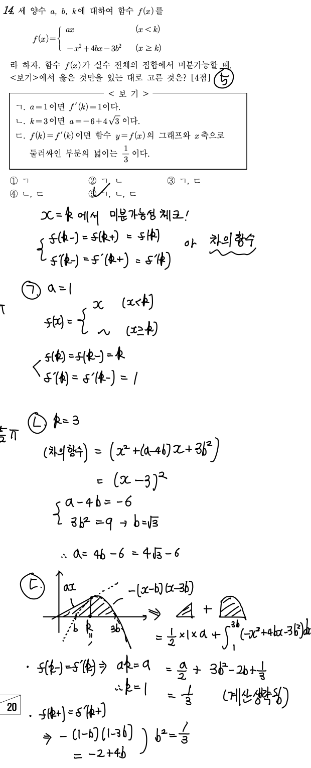
2023 3월 모의고사 공통 14번

[핵심 key Point]
=> 구간으로 정의된 함수의 미분가능성 판단
[자세한 해설]
=> ㄱ. 좌극한=우극한 / 좌미분계수=우미분계수
=> ㄴ. 차의 함수가 완전 제곱꼴이어야 함을 이용
=> ㄷ. 복잡한 계산
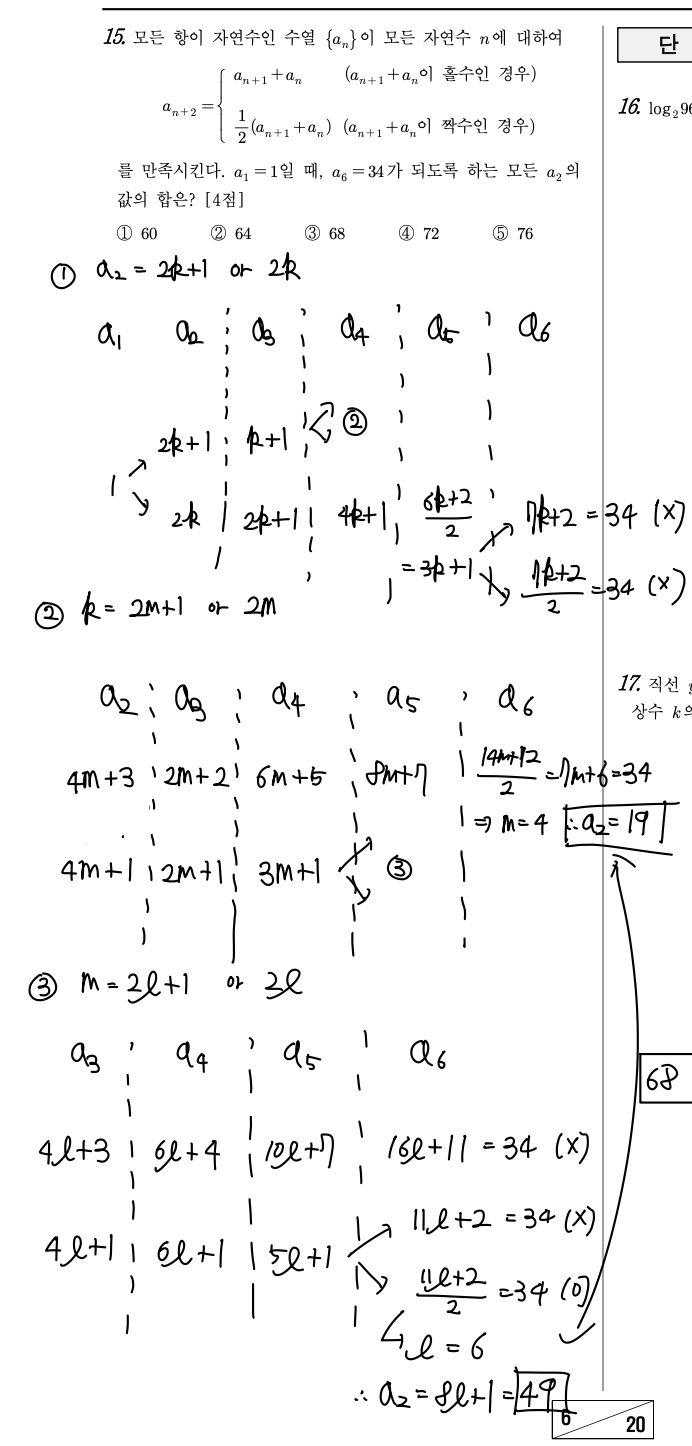
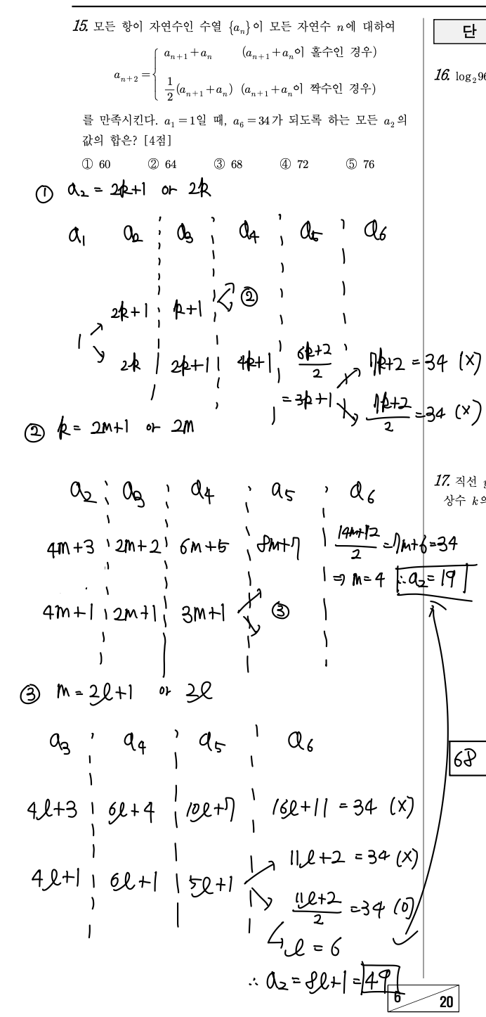
2023 3월 모의고사 공통 15번

[핵심 key Point]
=> 짝 홀 케이스 나누기
[자세한 해설]
=> 생략 (그림 참고)
'밤샘수학 > 기출 해설' 카테고리의 다른 글
| [2024학년도 수능 - 2023년 시행] 수학 예상 등급컷&총평 / 손글씨 해설(1번-15번) (1) | 2023.11.16 |
|---|---|
| [2023년 3월 모의고사 - 고3] 공통 후반부 (16번~22번) 해설 - 요약 (0) | 2023.03.23 |
댓글
이 글 공유하기
다른 글
-
[2024학년도 수능 - 2023년 시행] 수학 예상 등급컷&총평 / 손글씨 해설(1번-15번)
[2024학년도 수능 - 2023년 시행] 수학 예상 등급컷&총평 / 손글씨 해설(1번-15번)
2023.11.16 -
[2023년 3월 모의고사 - 고3] 공통 후반부 (16번~22번) 해설 - 요약
[2023년 3월 모의고사 - 고3] 공통 후반부 (16번~22번) 해설 - 요약
2023.03.23