[수학 (상) 기초 개념] 11강 : 고차 방정식(삼차 방정식 / 사차 방정식)

안녕하세요, 밤샘공부 입니다~
질문 사항은 아래 오픈챗 링크 혹은 메일로 보내주시면, 2시간 이내로 답변드리겠습니다.
오픈챗 링크 : https://open.kakao.com/o/srASNxef
메일 주소 : studying.all.night.1114@gmail.com
오늘은 커리큘럼 [수학 (상) DOT] "개념의 점을 찍어라" 의 11강. 고차방정식에 대해 알아보겠습니다.
여러분께 수학적 통찰을 주는 강의가 되었으면 합니다.
뒤에 문제도 있으니 꼼꼼히 정독하시길 바랍니다.
1. 방정식을 푸는 방법론
고차 방정식을 본격적으로 풀기에 앞서, 이차 방정식을 이용하여 방정식을 푸는 방법을 복습해보자. 돌이켜 보면, 이차방정식을 푸는 방법에는 크게 2가지가 존재했다. 첫번째는 인수분해를 사용하는 것. 두번째는 근의 공식을 사용하는 것이다. 이때 1순위로 인수 분해를 시도해보고 인수분해가 되지 않는다면, 근의 공식을 택하여 이차방정식을 풀곤 했다. 추가적으로 근의 공식을 쓸 때 일차항이 짝수라면 좀 더 간단하게 구할 수 있다. 아래 예시를 살펴보자.
(1) 이차 방정식의 풀이법
① 인수 분해

② 근의 공식

이처럼 이차 방정식은 두 가지 방식(인수분해, 근의 공식)으로 풀 수 있으며 이는 고차방정식 또한 마찬가지 이다. 기본적으로 삼차방정식과 사차방정식 모두 근의 공식이 존재하지만 그 식이 너무 복잡하여 교육과정 상 인수 분해 되는 고차방정식만 풀게 된다. 고차 방정식을 인수분해를 할 때 유형이 다시 두가지로 나뉘는데, 첫번째는 인수 분해 공식을 쓰는 경우이다. 일례로 세 제곱 곱셈공식을 활용한 인수 분해 공식을 가장 자주 쓴다. (아래 예시를 참고하자) 두번째는 인수정리와 조립제법을 이용한 인수 분해를 하는 경우이다. 앞으로 삼차 방정식과 사차 방정식을 맞닥뜨렸을 때는 대부분 이 방식을 차용할 것이며 중간 고사 범위에서 같이 공부했다.
(2) 고차 방정식의 풀이법
① 인수 분해
- 인수 분해 공식 (곱셈 공식 활용)

- 인수 정리와 조립 제법을 이용한 인수 분해(중요)

② 근의 공식
- 삼차/사차 모두 존재는 하지만, 너무 복잡하여 한국 고등 교육과정에서 배우지 않음. (세특 추천 주제)
- 오차 방정식은 항상 존재하지는 않음. (세특 추천 주제)
2. 방정식의 '근'을 해석하는 방법론
먼저 이차방정식의 두 근을 각각 α(알파)와 β(베타)라 하자. 이때 두 근의 의미를 대수적으로(식) / 기하적으로(그래프) 파악하는 것이 매우 중요하다. 이러한 관점을 이해하고 있냐 없냐의 유무에 따라 문제 풀이 속도와 학습 속도가 갈린다 해도 과언이 아니다. 먼저 익숙한 이차 방정식에서 이를 살펴본 뒤 고차방정식으로 시야를 확장할 것이다.
(1) 이차 방정식의 '근'의 해석
① 식 : "근 = 인수"

② 그래프 : "근 = x절편"

이처럼 이차방정식에서 두 근은 인수로서, x절편으로서 해석될 수 있다. 두 관점 모두 고난도 문항으로 갈수록 많이 쓰이는 사고흐름이니, 꼭 익숙하게 받아들이자. 이와 같은 방식으로 삼차방정식과 사차방정식 또한 함께 해결해보자.
(2) 고차 방정식의 '근'의 해석
① 식 : "근 = 인수"
- 삼차 방정식

- 사차 방정식

② 그래프 : "근 = x절편"
- 삼차방정식

- 사차방정식

이때, 기하적 관점에서 삼차방정식과 사차방정식의 그래프 모양의 의문을 가질 수 있다(배운적이 없을테니). 지금 당장 중요한 내용은 아니니 "그냥 이차방정식과 같이 x절편으로 해석할 수 있구나~ 그렇구나~" 정도로 파악하고 넘어가자. 중요한 것은 수식적 관점에서 근이 인수의 의미를 갖는 다는 것이다. 이를 이용하여 어떤 세근이 주어졌을 때 삼차방정식을 작성할 수 있어야 한다.
3. 삼차 방정식의 특징
앞으로 밥먹듯이 쓸 이차방정식의 근과 계수 관계를 넘어 삼차방정식의 근과 계수의 관계를 배워보자. 공식 자체는 익숙해지면 외우기 어려운 편은 아니지만, 공식의 성립 원리를 이해해야 한다. 먼저, 공식을 살펴보고 해당 공식을 같이 유도해보자.
(1) 근과 계수의 관계
① 공식

② 증명

아래 내용은 특히 고1 내신에서 자주 쓰이는 공식들이다. 일부러 하나하나 외울 필요는 없으나, 아래 나와있는 공식을 바로바로 유도할 수 있어야 한다. 꼭!! 유도될 때 까지 백지에 반복해서 손으로 써보자. 화이팅이다!!
(2) 허근과 관련된 공식(중요)
① 첫번째 경우 (x^3 = 1 일 때)

- 공식1 [삼차방정식의 근으로서의 의미]

- 공식 2 [근과 계수의 관계로서의 의미]

- 공식 3 [공식 1 + 공식2 연립]

② 두 번째 경우 (x^3 = -1 일 때)

- 공식 1 [삼차방정식의 근으로서의 의미]

- 공식 2 [근과 계수의 관계로서의 의미]

- 공식 3 [공식 1 + 공식 2 연립]

좀 복잡하긴 하지만, 학습 가치가 높은 부분이다. 꼭 백지에 써보며 마스터 하자. 이제 아래 내용은 삼차방정식의 마지막 특징으로서, 세특 연구 주제로 삼기 좋다. 바로 켤레근과 관련된 사실들인데, 몰라도 문제 푸는 데 큰 지장은 없으나 해당 사실을 알고 있는 경우와 모르는 경우의 풀이 속도 차이 / 문제 해석의 관점에서 격차가 벌어질 수 있으므로 알고 넘어가도록 하자.
(3) 켤레근과 관련된 공식(외우고 있자)
① 삼차 방정식이 어떤 유리수 근 하나를 가질 때 -> 알 수 있는 것 X
② 삼차 방정식이 어떤 무리수 근 하나를 가질 때 -> 켤레 또한 근으로 갖게 됨.

③ 삼차 방정식이 어떤 복소수 근 하나를 가질 때 -> 켤레 또한 근으로 갖게 됨.

4. 사차 방정식의 특징
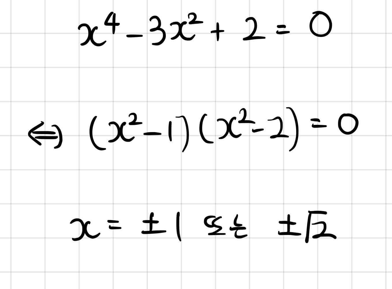
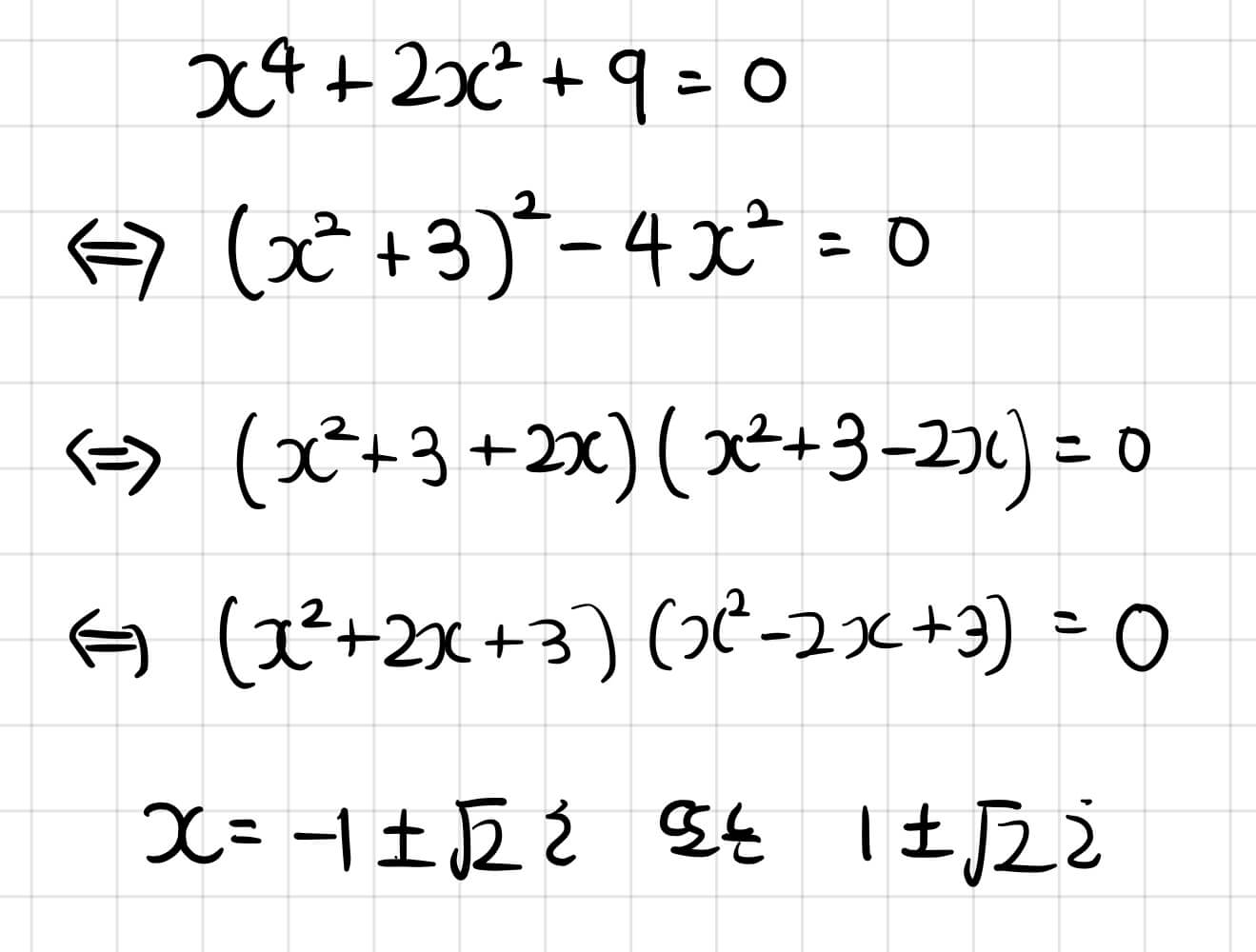
마지막으로, 사차 방정식의 특징 중 복이차 방정식에 대하여 배워보자. 복이차 방정식이란 짝수차수로만 이루어져 있는 사차방정식을 말하는데, 보통 x^2을 A로 치환하여 문제를 해결한다. 아래 예시를 살펴보자.
(1) 복이차 방정식
① 인수 분해 되는 형태

② 인수 분해 되지 않는 형태 - 합*차 = 제곱차

이번 11강에서는 <고차방정식>에 대하여 공부했습니다. 다음 12강에서는 <연립방정식>에 대하여 공부해봅시다.
'밤샘수학 > 수학 상 [1단계-DOT]' 카테고리의 다른 글
| [수학 (상) 기초 개념] 12강 : 연립 방정식(연립 이차 방정식) (0) | 2023.05.11 |
|---|