[수학 (1) 기초 개념] 9강 : 삼각함수의 활용 (사인 법칙 / 코사인 법칙)

안녕하세요, 밤샘공부 입니다~
질문 사항은 아래 오픈챗 링크 혹은 메일로 보내주시면, 2시간 이내로 답변드리겠습니다.
오픈챗 링크 : https://open.kakao.com/o/srASNxef
메일 주소 : studying.all.night.1114@gmail.com
오늘은 커리큘럼 [수학 (1) DOT] "개념의 점을 찍어라" 의 9강. 삼각함수의 활용(사인법칙/코사인법칙)에 대해 알아보겠습니다.
여러분께 수학적 통찰을 주는 강의가 되었으면 합니다.
1. 사인법칙
기존 강의에서 삼각함수의 정의 및 그래프를 공부했다. 앞으로 두번의 강의에서 배울 사인법칙 / 코사인법칙에 대한 내용은 삼각함수 그래프와 '독립적인 것'으로 보는 것이 좋다. 즉 사인법칙 / 코사인법칙 문제들은 그래프와 전혀 관계 없이, 두 법칙을 이용하여 도형을 해석하는 문제들이 주를 이룬다. 그러므로 부담갖지 말고 차근차근 모든 사실관계들을 증명해가며 해당 단원을 정복해 나가자. 먼저 사인법칙에 대해 살펴보자. 이때, 사인법칙을 처음 배울때는 "꼭 그림을 하나하나 그려보기" 바란다.
(1) 사인법칙 공식
① 이미지(중요)

② 식

사인법칙은 결국 "세 각의 사인값과 세 변의 비율이 각각 외접원의 지름으로 같다"를 의미한다. 따라서, 공식자체를 외우면 끝이라고 생각할 수 있으나 이를 직접 증명해 본 학생과 증명해보지 못한 학생은 사인법칙을 대하는 태도 자체가 달라지게 된다. 수학적으로 '증명'이라는 것은 '해체'에 가까운 작업으로, '이해'하기 위한 필수요건이 된다. 어렵게 느껴질 수 있으나, 공부는 기본적으로 어려워야 의미가 있으며 그나마 사인법칙은 여러가지 증명 중 쉬운편에 속한다. 꼭 이해하고 넘어가도록 하자.
(2) 사인법칙의 증명
① 예각 삼각형인 경우 (각 A가 예각인 경우)

② 직각 삼각형인 경우(각 A가 직각인 경우)

③ 둔각 삼각형인 경우(각 A가 둔각인 경우)

2. 코사인 법칙
꼭 위 증명과정을 백지에 써가며, 스스로 납득하도록 하자. 이해됐다고 보고 넘기는 건 '이해했다고 착각'했을 뿐이다. 아무 자료 없이 백지 위에 사인법칙의 과정을 증명할 수 있을 때 비로소 '체화'될 수 있다. 다음으로 코사인법칙을 살펴볼텐데, 사인법칙과의 차이점에 집중하며 공식과 증명과정을 따라가 보자. 문제에 써먹을 때 사인법칙을 써야할지 코사인법칙을 써야할지 고민 되는 이유는 개념을 공부하는 단계에서 사인법칙과 코사인법칙을 독립적으로 '따로따로' 생각했기 때문이다. 두 법칙의 차이점과 공통점을 생각해가며 공부할 때, 얻는 것이 더 많을 것이다. 내용은 그리 길지 않으니, 집중해서 살펴보도록 하자.
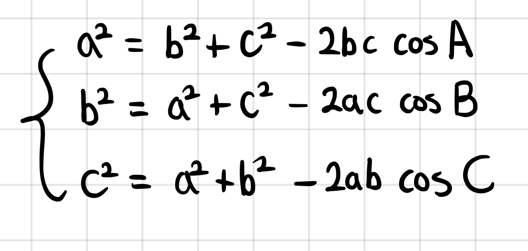
(1) 코사인법칙 공식
① 이미지(중요)

② 식

코사인법칙은 결국 "세 변과 한 각사이의 관계식"을 의미한다. 마찬가지로, 그냥 그렇구나~ 하고 암기하며 넘어가지 말고 아래의 증명과정을 따라가며 고민하고 번뇌하는 과정을 거쳐가자. 고통스러울수록 오래 기억이 남고, 하기 싫을수록 큰 도움이 된다.
(2) 코사인법칙의 증명
① 예각 삼각형인 경우 (각 C가 예각인 경우)

② 직각 삼각형인 경우 (각 C가 직각인 경우)

③ 둔각 삼각형인 경우 (각 C가 둔각인 경우)

이번 9강에서는 <삼각함수의 활용 - 사인 법칙/코사인 법칙>에 대하여 공부했습니다. 다음 10강에서는 <삼각함수의 활용 - 삼각형과 사각형의 넓이>에 대하여 공부해봅시다.